Probability and Statistics I

Math 301
Student Presentations




This page contains links to the work of students that was completed for Math 301, Fall 2011. If a student has missed class or wishes an extra copy of a this material it is in PDF or JPG format and is downloadable.  The works contained herein are the intellectual property of the student who did the work; not mine, so credit should be noted for said individuals.

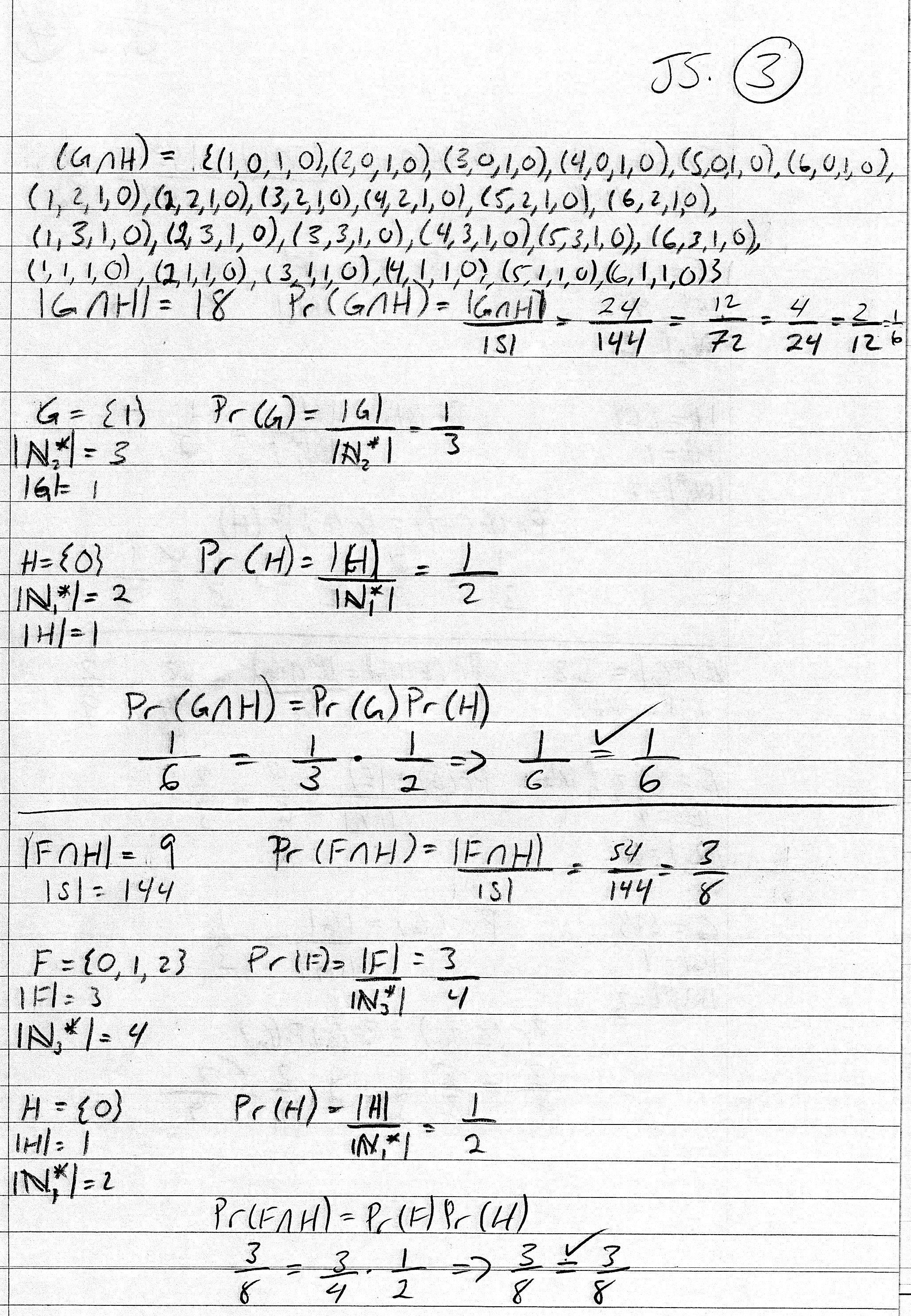
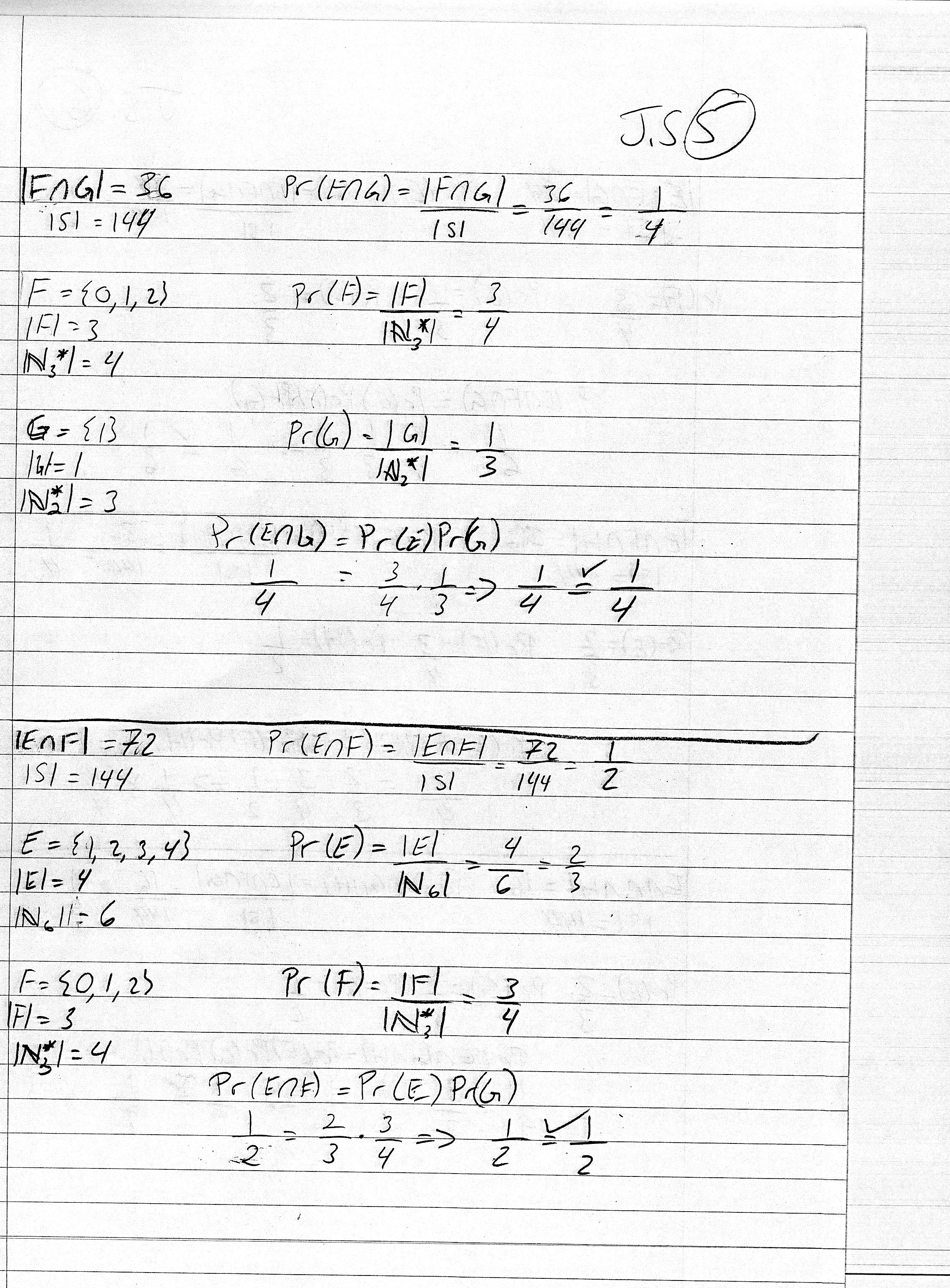
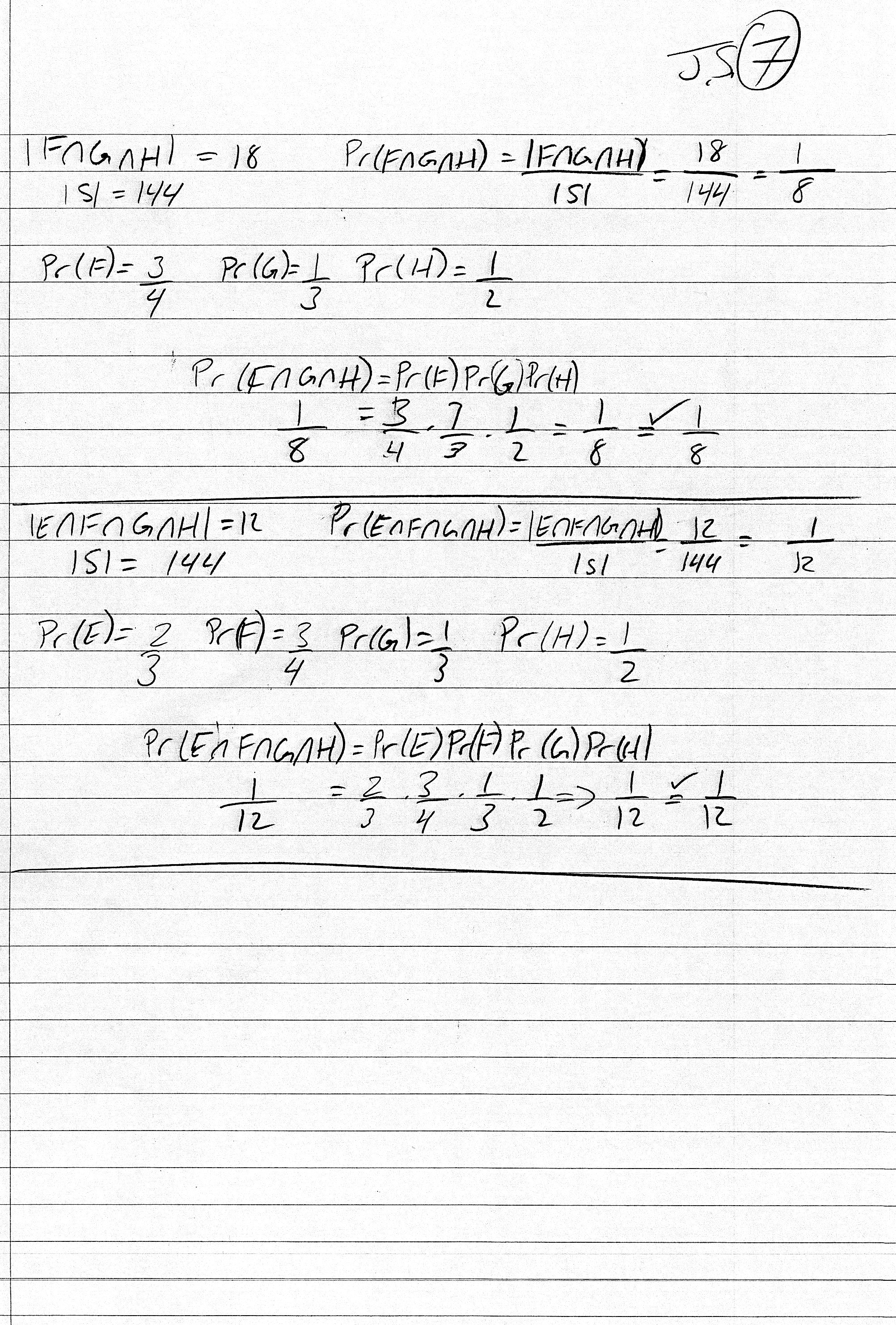
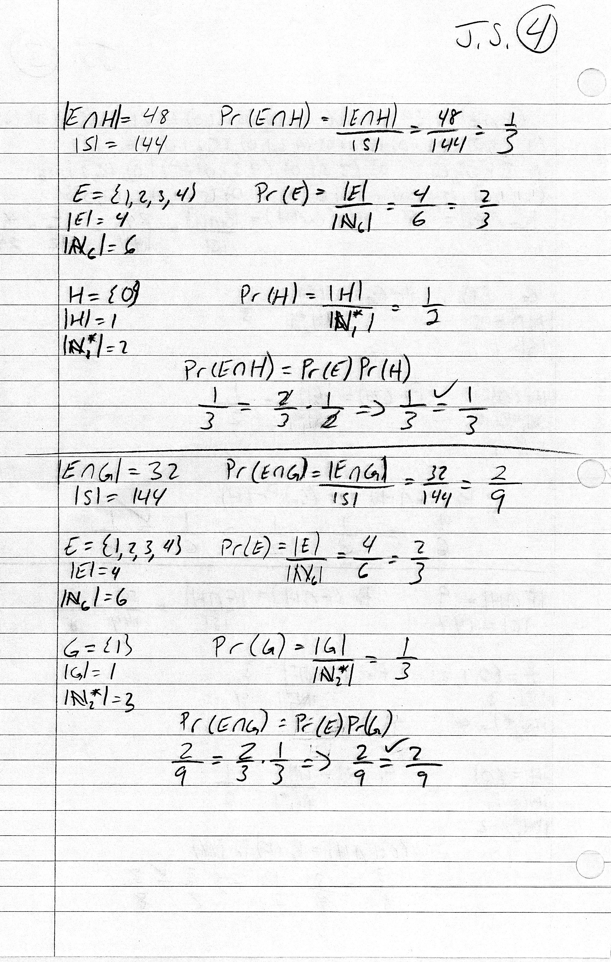
Mr. J. Sitarik 2011-10-17 – Claim 7.10.  Sitarik page 1      Sitarik page 2                    Sitarik page 3      Sitarik page 4             Sitarik page 5      Sitarik page 6                     Sitarik page 7    

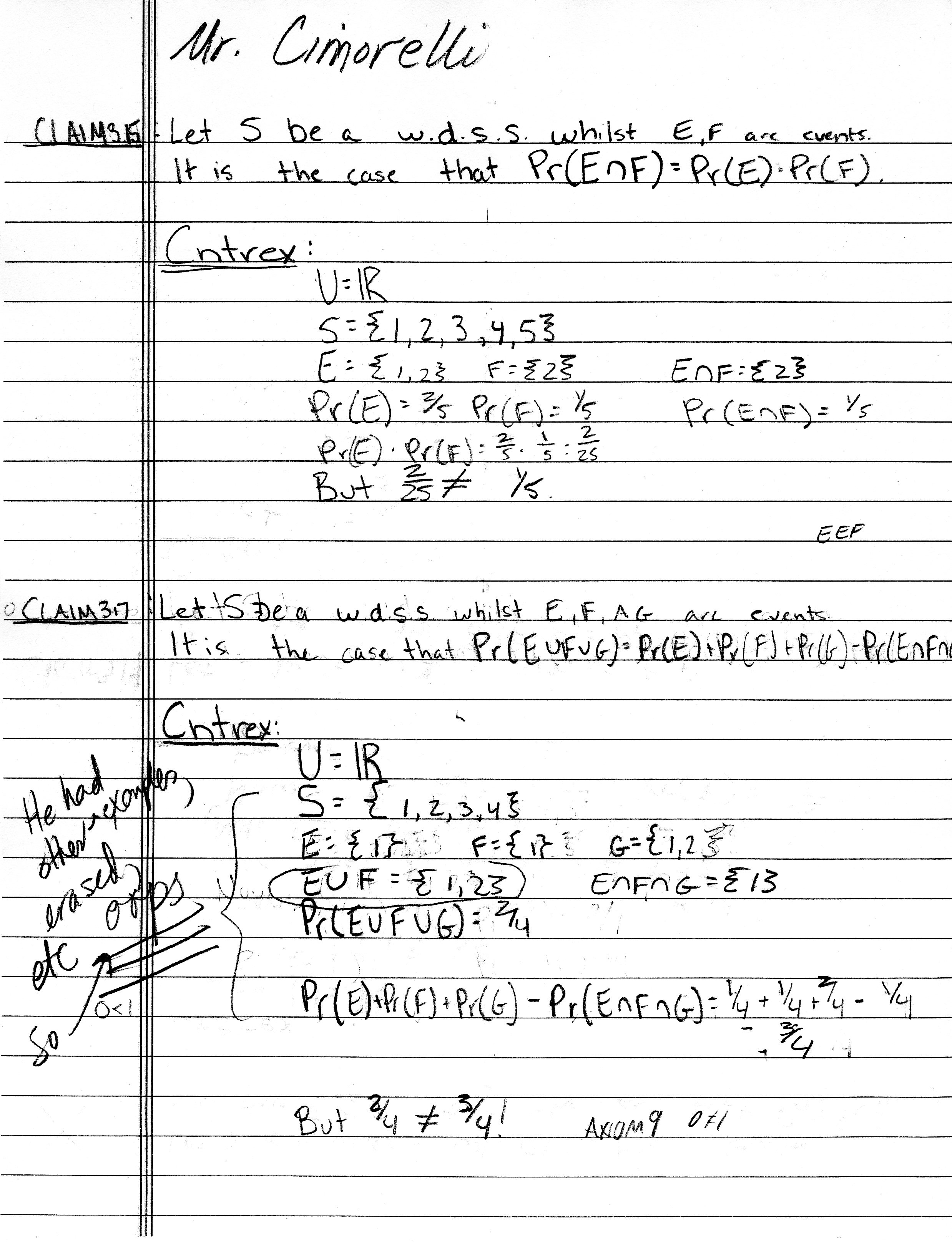
Mr. W. Cimorelli 2011-09-15 – Claim 3.15.  Cimorelli page 1

Mr. J. Jablonski 2011-08-31 – Worksheet 0 claim 16.  Jablonski page 1

Mr. B. Lackman– Claim 3.15.  Lackman page 1

Mr. F. Porcella– Claim 3.03.  Porcella  page 1

Mr. D. Staves– Lemma 1.  Staves  page 1

Ms. H. Langley– Claim 5.0.  Langley  page 1

Mr. A. Watson– Claim 3.6.  Watson  page 1    Watson  page 2

Ms. or Mr. Somebody– Claim 3.6.  Somebody  page 1

    


Last updated: 17 Oct. 2011

© 2000- 2011, M. P. M. M. McLoughlin