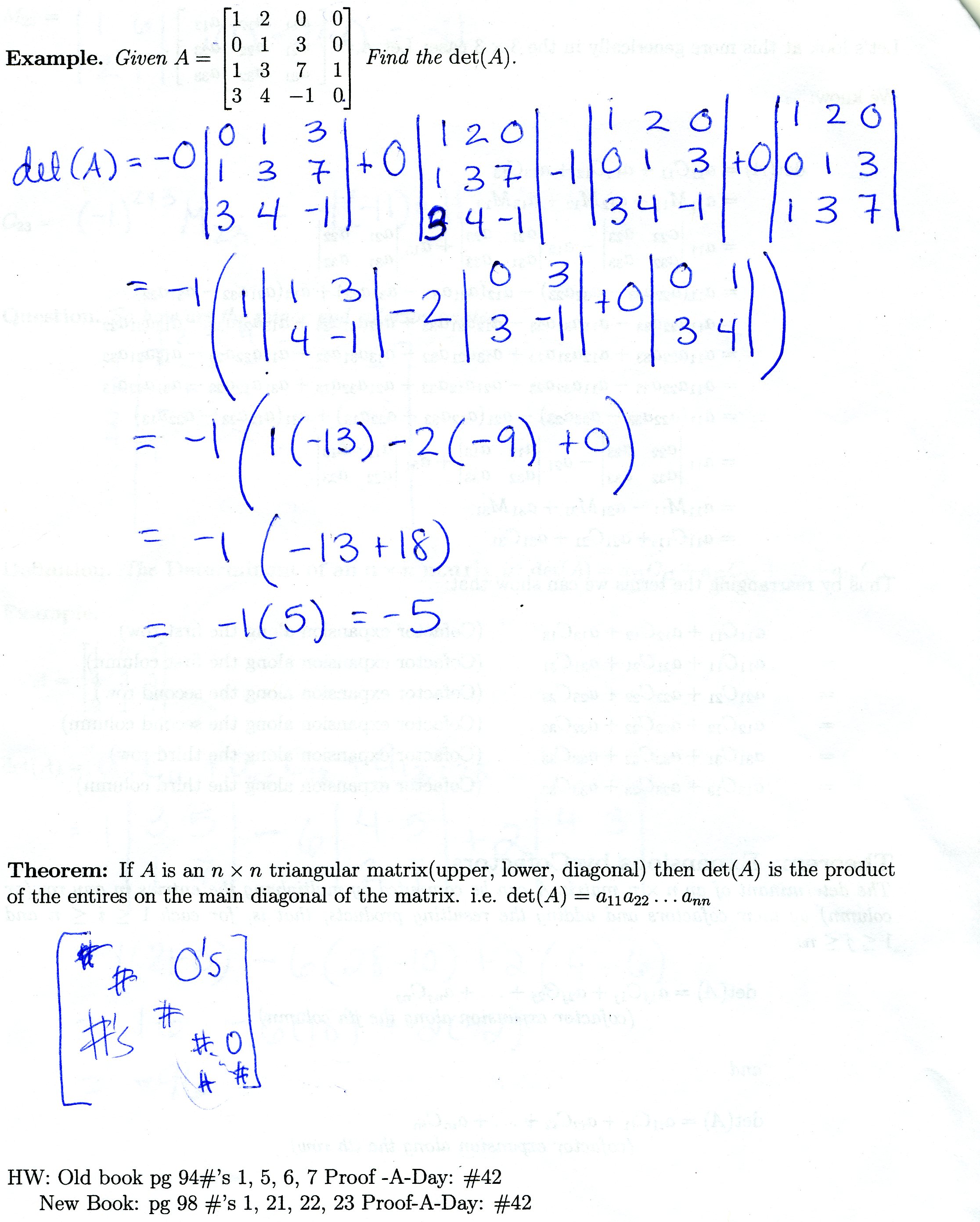
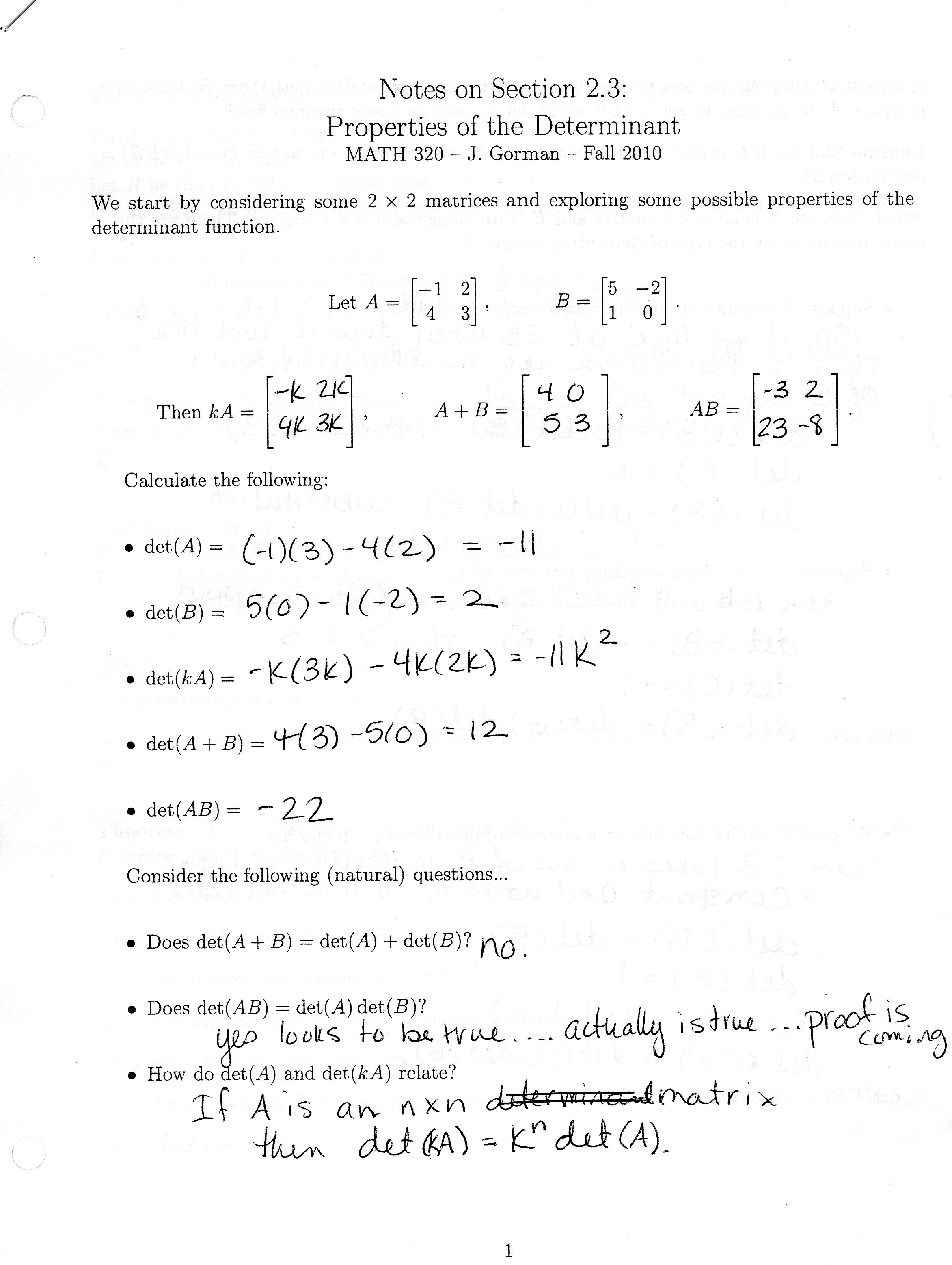
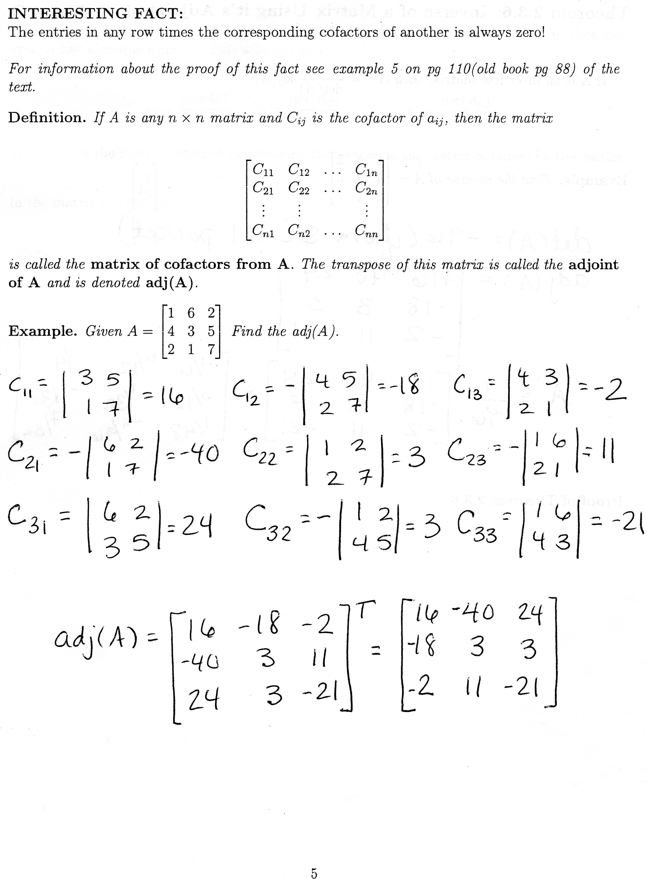
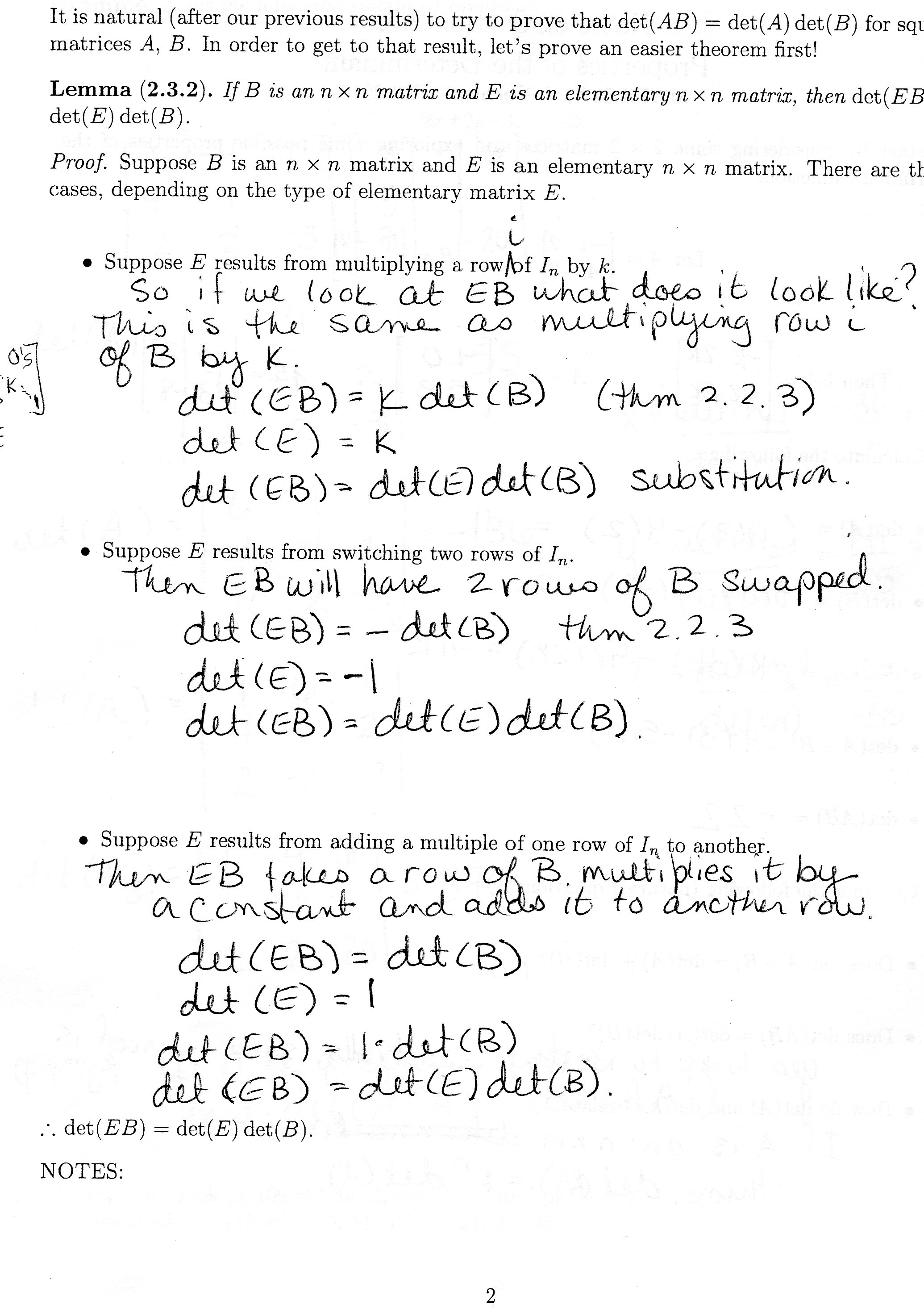
MAT 260 Lecture slides

The following information will be updated as the course goes, make sure you check it before each class.

 


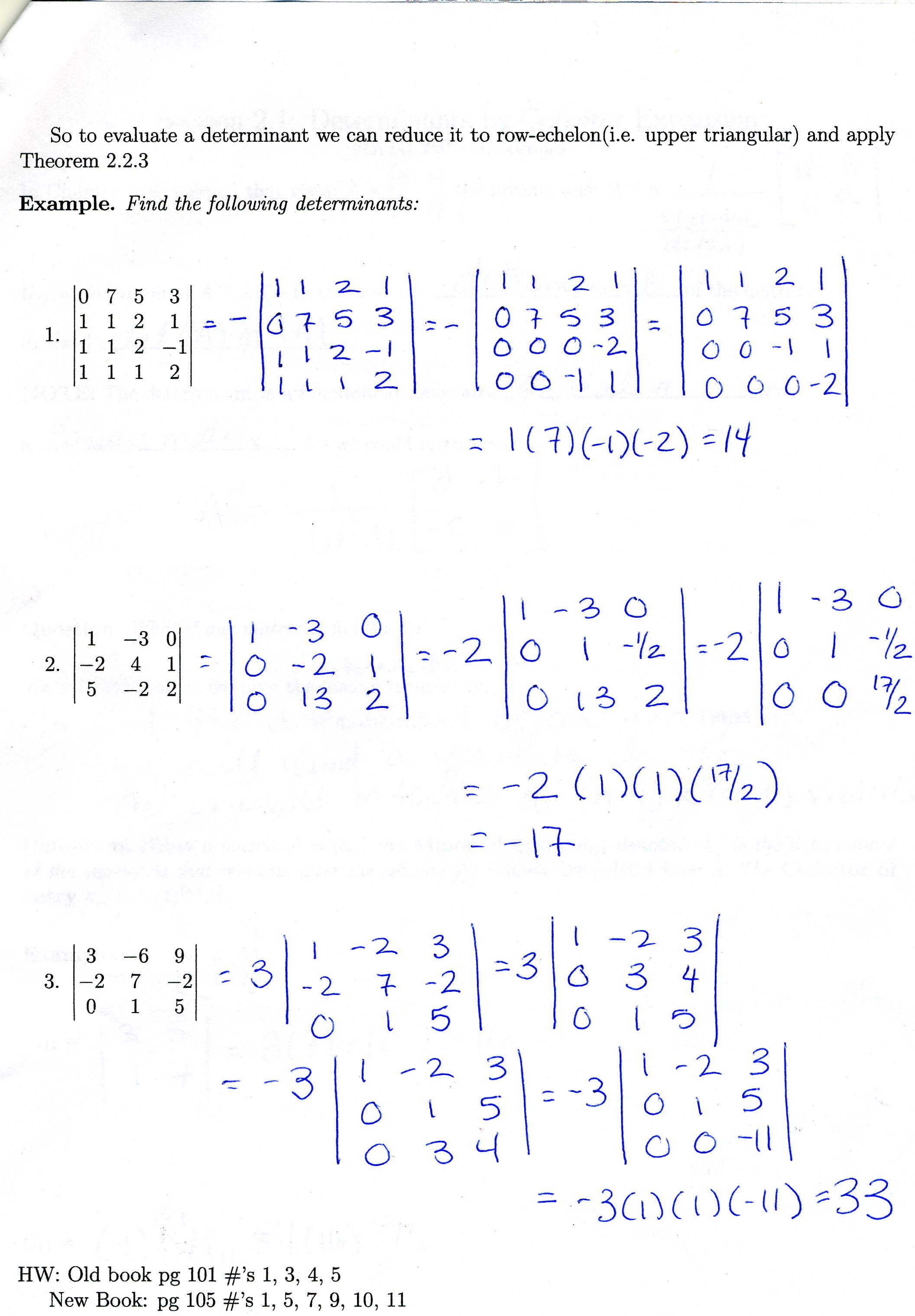
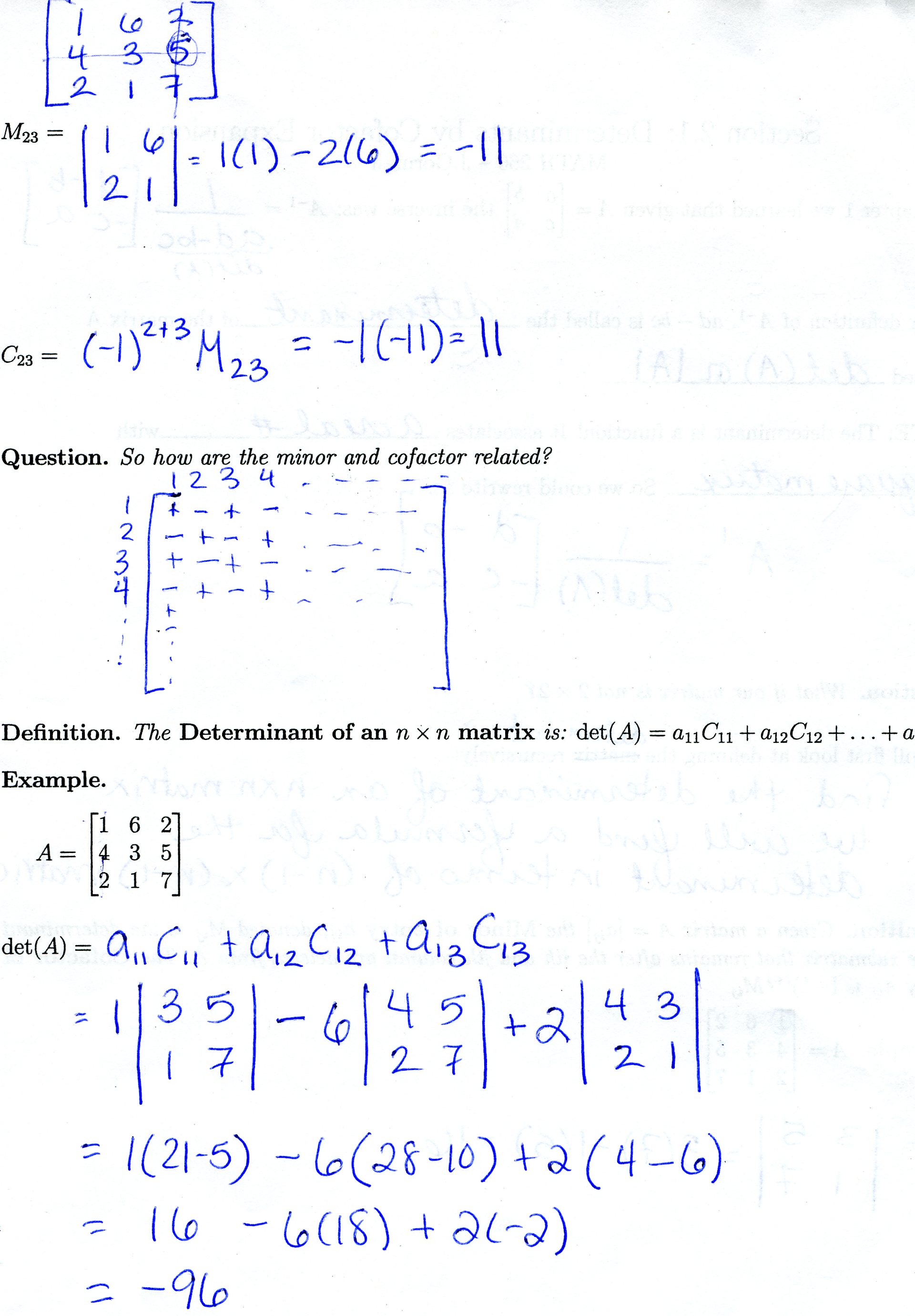
MAT 260